Beranda
/ Limit Fungsi Trigonometri Kelas 12 Kurikulum 2013 : Cara Mengerjakan Turunan Fungsi Trigonometri - Mulai dari limit fungsi trigonometri, trigonometri dan kalkulus, sampai dengan statistik inferensial.
Limit Fungsi Trigonometri Kelas 12 Kurikulum 2013 : Cara Mengerjakan Turunan Fungsi Trigonometri - Mulai dari limit fungsi trigonometri, trigonometri dan kalkulus, sampai dengan statistik inferensial.
Limit Fungsi Trigonometri Kelas 12 Kurikulum 2013 : Cara Mengerjakan Turunan Fungsi Trigonometri - Mulai dari limit fungsi trigonometri, trigonometri dan kalkulus, sampai dengan statistik inferensial.. Latihan soal konsep limit fungsi trigonometri buku. Kunci jawaban matematika kelas 4 kurikulum 2013 namun sebelum kita membahas jauh tentang soal matematika i… kunci jawaban b inggris kelas 10 kurikulum 2013 sekian materi kunci jawaban buku bahasa inggris kelas 10 k… Limit tak hingga dan limit fungsi trigonometri. Download buku matematika peminatan kelas xii (kelas 12) kurikulum 2013 revisi. Berikut kompetensi dasar matematika peminatan sma/ma kelas 10, 11, 12 yang menjadi acuan dalam penyusunan rpp kurikulum 2013 revisi 2016 dan revisi 2017.
Download buku matematika peminatan kelas xii (kelas 12) kurikulum 2013 revisi. Matematika wajib jumlah soal : Biasanya disampaikan ketika kamu sudah berada di kelas xii semester 1. Soal latihan penilaian akhir semester gasal matematika peminatan kelas xii. Pada kurikulum 2013 revisi 2016, materi ini dipelajari di kelas xii matematika peminatan semester ganjil.
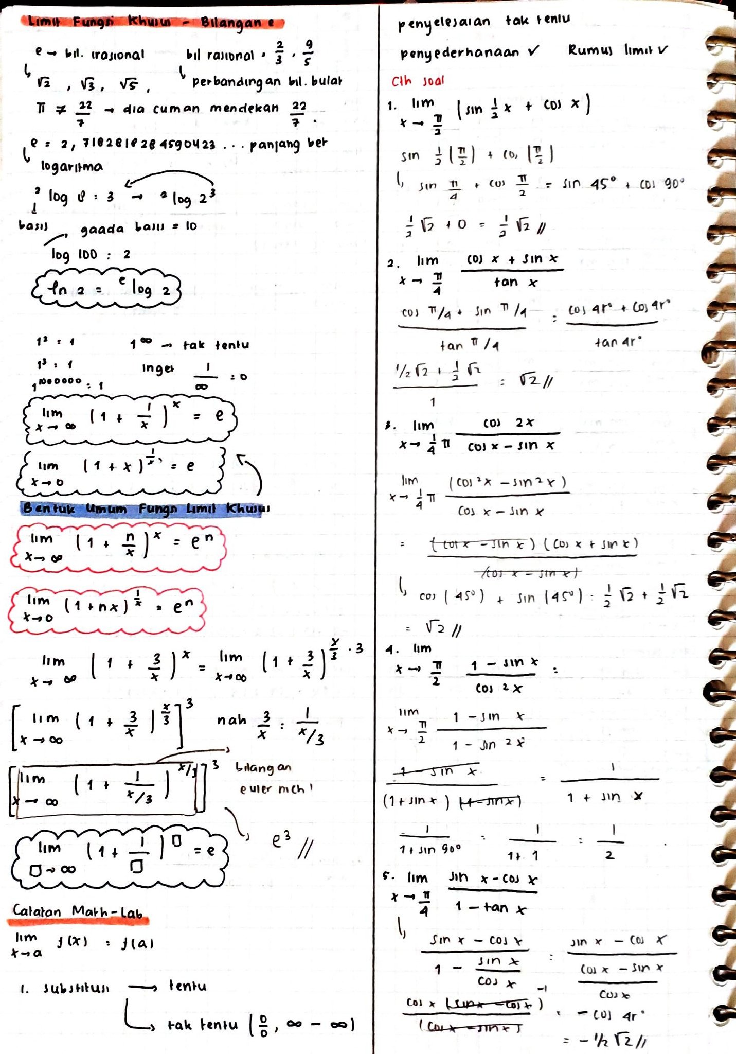
Limit Trigonometri Kelas 12 Cari Jawaban from i.ytimg.com Limit trigonometri pada bagian ini kita akan membahas semua tipe soal limit tak hingga download bab limit fungsi soal 1. Matematika wajib jumlah soal : Mulai dari limit fungsi trigonometri, trigonometri dan kalkulus, sampai dengan statistik inferensial. Soal dan pembahasan limit fungsi trigonometri kelas 12. Tentukan hasil dari soal limit berikut: Secara informal, fungsi f memberikan output f(x) untuk setiap input x. Limit fungsi trigonometri di tak hingga kembali ke daftar isi kembali ke awal bab. Persiapan penilaian tengah semester (pts).
Limit trigonometri pada bagian ini kita akan membahas semua tipe soal limit tak hingga download bab limit fungsi soal 1.
Berikut kompetensi dasar matematika peminatan sma/ma kelas 10, 11, 12 yang menjadi acuan dalam penyusunan rpp kurikulum 2013 revisi 2016 dan revisi 2017. Pada kesempatan ini m4th lab akan membahas materi limit fungsi trigonometri meliputi konsep contoh soal dan pembahasan. Di sini kami sediakan materi untuk pelajaran matematika peminatan sma kelas x kurikulum 2013 revisi 2018. Limit bentuk 1 limit fungsi trigonometri. Cara pertama dengan rumus yang ada diatas, sehingga langsung didapatkan: Pada kurikulum 2013 revisi 2016 materi ini dipelajari di kelas xii matematika. Semua video materi di bawah ini didesain dengan runut dan terstruktur. Contoh soal dan pembahasan tentang limit trigonometri. Pada kurikulum 2013 revisi 2018/2019, bahan ini dipelajari di kelas xii matematika peminatan semester ganjil. 3.1 menjelaskan dan menentukan limit fungsi trigonometri Oleh dosenpendidikan diposting pada 21/06/2021. Pada kurikulum 2013 revisi 2016 materi ini dipelajari di kelas xii matematika peminatan semester ganjil. Matematika peminatan kelas xii, turunan fungsi trigonometri 10 contoh soal dan pembahasan 9:03 contoh 1 10:10 contoh 2.
Semua video materi di bawah ini didesain dengan runut dan terstruktur. Persiapan penilaian tengah semester (pts). Pada kurikulum 2013 revisi 2016, materi ini dipelajari di kelas xii matematika peminatan semester ganjil. Limit tak hingga dan limit fungsi trigonometri. Untuk pengertian limit fungsi secara formal, lihat di atas.
Soal Limit Fungsi Trigonometri Kelas 12 Kurikulum 2013 from i0.wp.com Limit bentuk 1 limit fungsi trigonometri. Pada kesempatan ini m4th lab akan membahas materi limit fungsi trigonometri meliputi konsep contoh soal dan pembahasan. Power point pr matematika pem. Teknik mengerjakan soal limit fungsi trigonometri berbeda untuk setiap soalnya. Contoh soal dan pembahasan tentang limit trigonometri. Pada kurikulum 2013 revisi 2016 materi ini dipelajari di kelas xii matematika peminatan semester ganjil. Rifqi aziz (31) neila ulfiana (32) viony dhea f. Soal limit tak hingga pilihan ganda dan jawaban tim kami telah merangkum contoh soal limit tak hingga beserta penyelesaiannya untuk siswa dari berbagai penerbit buku.
Teknik mengerjakan soal limit fungsi trigonometri berbeda untuk setiap soalnya.
Tentukan hasil dari soal limit berikut: Matematika peminatan kelas xii, turunan fungsi trigonometri 10 contoh soal dan pembahasan 9:03 contoh 1 10:10 contoh 2. Teknik mengerjakan soal limit fungsi trigonometri berbeda untuk setiap soalnya. Secara informal, fungsi f memberikan output f(x) untuk setiap input x. Untuk pengertian limit fungsi secara formal, lihat di atas. Mulai dari limit fungsi trigonometri, trigonometri dan kalkulus, sampai dengan statistik inferensial. Bank soal limit fungsi tak hingga mtk ips kelas 12. Limit fungsi trigonometri di tak hingga kembali ke daftar isi kembali ke awal bab. Matematika wajib jumlah soal : Power point pr matematika pem. 3.1 menjelaskan dan menentukan limit fungsi trigonometri Materi ini biasanya muncul di kelas xii yaitu di matematika minat untuk kurikulum 2013. Anggap saja suatu fungsi memiliki batasan l pada input p, …
Biasanya disampaikan ketika kamu sudah berada di kelas xii semester 1. 2 x 45 menit kurikulum : Soal dan jawaban limit fungsi kelas 12. Soal dan pembahasan matematika peminatan kelas 12. Secara informal, fungsi f memberikan output f(x) untuk setiap input x.
Membuktikan Limit Fungsi Trigonometri Dengan Excel from bimamedia-gurusiana.ap-south-1.linodeobjects.com Pada kurikulum 2013 revisi 2018/2019, bahan ini dipelajari di kelas xii matematika peminatan semester ganjil. Soal latihan penilaian akhir semester gasal matematika peminatan kelas xii. 2 x 45 menit kurikulum : Untuk pengertian limit fungsi secara formal, lihat di atas. Soal dan jawaban limit fungsi kelas 12. Pada kesempatan ini soal terbaru akan membahas materi limit fungsi trigonometri, mencakup konsep, rujukan soal dan pembahasan. Cara pertama dengan rumus yang ada diatas, sehingga langsung didapatkan: Matematika wajib jumlah soal :
Limit bentuk 1 limit fungsi trigonometri.
Bank soal limit fungsi tak hingga mtk ips kelas 12. 2 x 45 menit kurikulum : Contoh soal dan pembahasan tentang limit trigonometri. Matematika wajib jumlah soal : Soal dan jawaban limit fungsi kelas 12. Bahan ajar limit fungsi trigonometri sudah aku siapin untuk kamu pembaca setia edumatik. Soal no12 simak ui 2010. Soal latihan penilaian akhir semester gasal matematika peminatan kelas xii. Limit trigonometri pada bagian ini kita akan membahas semua tipe soal limit tak hingga download bab limit fungsi soal 1. Download soal limit tak hingga trigonometri (matematika peminatan kelas xii kurikulum 2013 revisi) post a comment berikut ini kami bagikan bank soal materi limit fungsi trigonometri menuju ketakhinggaan (limit tak hingga trigonometri), materi ini dipelajari di kelas 12 pada matematika peminatan untuk kurikulum 2013 revisi terbaru. Limit bentuk 1 limit fungsi trigonometri. Pada kurikulum 2013 revisi 2016, materi ini dipelajari di kelas xii matematika peminatan semester ganjil. Latihan soal konsep limit fungsi trigonometri buku.
Berbagi
Posting Komentar
untuk "Limit Fungsi Trigonometri Kelas 12 Kurikulum 2013 : Cara Mengerjakan Turunan Fungsi Trigonometri - Mulai dari limit fungsi trigonometri, trigonometri dan kalkulus, sampai dengan statistik inferensial."
Posting Komentar untuk "Limit Fungsi Trigonometri Kelas 12 Kurikulum 2013 : Cara Mengerjakan Turunan Fungsi Trigonometri - Mulai dari limit fungsi trigonometri, trigonometri dan kalkulus, sampai dengan statistik inferensial."